SCL-9-NR VS K10
31/12/16 00:28 Относится к категории: Результаты исследований | Шкалирование | Психологический дистресс
Методика Р. Кесслера базируется на двух основных симптоматических измерениях – депрессия (5 индикаторов) и тревожность (4 индикатора). Еще один индикатор представляет симптоматическое измерение соматизации. Таким образом, в содержательном смысле К10 значительно отличается от SCL-9-NR (9 симптоматических измерений, по одному индикатору на каждый). И поскольку К10 является общепризнанным измерительным инструментом, возникает вопрос о целесообразности еще одной шкалы, решающей аналогичные задачи и при этом использующей отличный концептуальный подход.
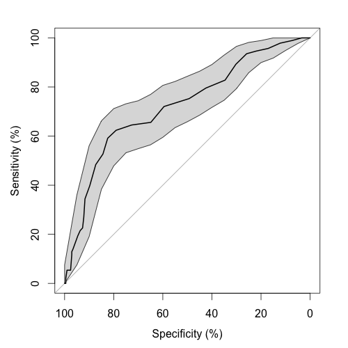
По этой причине я включил обе методики в онлайн опрос обычных респондентов, а также в опрос среди пациентов Черниговской областной психоневрологической больницы. Не имея возможности провести такую же многостороннюю валидизацию для К10, как и для SCL-9-NR я использовал подход, известный под названием ROC-curve [заключается в построении кривой, демонстрирующей результаты бинарной классификации; в данном случае классифицировались респонденты с психиатрическим диагнозом и без него]. Такое решение было обусловлено тем, что сам Р. Кесслер в рамках обоснования валидности своих шкал использовал именно его, получив при этом значение AUC (площадь под кривой) равное 0,87 – 0,88. В своем же исследовании я получил для К10 показатель на порядок ниже – всего 0,73. В то время как AUC для SCL-9-NR равен 0,80:
ROC-кривая для К10
ROC-кривая для SCL-9-NR
При использовании бинарной логистической регрессии для прогнозирования наличия у респондента психиатрического диагноза как SCL-9-NR (log odds ratio = 0,27; z = 7,4; p < 0,001), так и К10 (log odds ratio = –0,11; z = –5,7; p < 0,001) показывают статистически значимые результаты. Вместе с тем, значение AIC говорит в пользу более высокого качества модели, построенной на базе SCL-9-NR (AIC для SCL-9-NR = 280,9; AIC для К10 = 318,0). Аналогичный вывод можно сделать на основании анализа чувствительности, специфичности и общей эффективности моделей [в данном случае чувствительность модели демонстрирует эффективность предсказания наблюдений с психиатрическим диагнозом, специфичность – обычных наблюдений, а под общей эффективностью имеется ввиду общее количество правильно предсказанных случаев]:
Чувствительность, специфичность и эффективность модели для SCL-9-NR и К10, %
| Вероятность наличия диагноза на основании модели | Чувствительность | Специфичность | Эффективность | |||
| SCL-9-NR | К10 | SCL-9-NR | К10 | SCL-9-NR | К10 | |
| 0,9 | 7 | 0 | 100 | 100 | 73 | 71 |
| 0,8 | 14 | 5 | 99 | 99 | 74 | 71 |
| 0,7 | 27 | 5 | 97 | 98 | 76 | 71 |
| 0,6 | 37 | 14 | 96 | 97 | 79 | 72 |
| 0,5 | 50 | 23 | 92 | 93 | 79 | 72 |
| 0,4 | 54 | 50 | 89 | 87 | 79 | 76 |
| 0,3 | 71 | 64 | 78 | 73 | 76 | 70 |
| 0,2 | 80 | 80 | 61 | 42 | 67 | 54 |
| 0,1 | 93 | 99 | 24 | 7 | 45 | 34 |
Краткие выводы: в общем и целом наши побеждают =)
blog comments powered by Disqus